( ... - ... )
Rechtsgronden
Dit besluit is gebaseerd op:
- het Energiedecreet van 8 mei 2009, artikel 7.1.4/1, § 1, eerste en tweede lid, artikel 8.2.1, 3°, artikel 8.3.1, 3°, en artikel 8.4.1, 3° ;
- het Energiebesluit van 19 november 2010, artikelen 7.11.1 tot en met 7.11.4, ingevoegd bij het besluit van de Vlaamse Regering 7 september 2018, en vervangen bij het besluit van de Vlaamse Regering van 10 juli 2020;
- het besluit van de Vlaamse Regering van 10 juli 2020 tot wijziging van het Energiebesluit van 19 november 2010, wat betreft de invoering van een steunregeling voor middelgrote installaties op basis van zonne-energie en kleine en middelgrote windturbines en wat betreft nuttige groene warmte, restwarmte en de injectie en productie van biomethaan, artikel 18, vervangen bij het besluit van de Vlaamse Regering van 9 oktober 2020;
Vormvereisten
De volgende vormvereisten zijn vervuld:
- de Inspectie van Financiën heeft advies gegeven op 12 november 2020;
- de Raad van State heeft advies 68.416/3 gegeven op 28 januari 2021, met toepassing van artikel 84, § 1, eerste lid, 2°, van de wetten op de Raad van State, gecoördineerd op 12 januari 1973.
DE VLAAMSE MINISTER VAN JUSTITIE EN HANDHAVING, OMGEVING, ENERGIE EN TOERISME BESLUIT:
Artikel 1. ( 17/05/2021 - ... )
De eerste call voor nieuwe installaties op basis van zonne-energie, met een maximaal AC-vermogen van de omvormer(s) groter dan 40 kW tot en met 2 MW, en voor nieuwe windturbines op land met een bruto nominaal vermogen per turbine groter dan 10 kWe tot en met 300 kWe, wordt opengesteld voor het indienen van steunaanvragen van 17 mei 2021 tot en met 3 juni 2021.
Artikel 2. ( 17/05/2021 - ... )
Het totale maximale steunbedrag voor het jaar 2021 voor calls tot indiening van steunaanvragen voor de plaatsing van nieuwe installaties op basis van zonne-energie op marginale gronden, drijvende installaties op basis van zonne-energie, overige installaties op basis van zonne-energie en voor kleine en middelgrote windturbines op land bedraagt 18.900.000 euro uit het Energiefonds.
Artikel 3. ( 17/05/2021 - ... )
Het totale maximale steunbedrag voor deze eerste call bedraagt 5.000.000 euro. Voor de call voor steunaanvragen voor de plaatsing van installaties op basis van zonne-energie als vermeld in artikel 7.11.1, § 1, derde lid, 3° van het Energiebesluit van 19 november 2010 bedraagt het maximale steunbedrag 4.250.000 euro. Voor de call voor steunaanvragen voor de plaatsing van installaties op basis van windenergie en installaties op basis van zonne-energie als vermeld in artikel 7.11.1, § 1, derde lid, 1° en 2° van het Energiebesluit van 19 november 2010 bedraagt het maximale steunbedrag 750.000 euro.
Artikel 4. ( 17/05/2021 - ... )
Het steunplafond, dat de maximale verhouding van de steun ten opzichte van de energieopbrengst weergeeft waarvoor projecten kunnen worden geselecteerd, bedraagt voor deze call:
1° 22 euro per MWh voor projecten voor installaties op basis van zonne-energie op marginale gronden en voor overige installaties op basis van zonne-energie;
2° 33 euro per MWh voor projecten voor drijvende installaties op basis van zonne-energie;
3° 74 euro per MWh voor projecten op basis van windenergie.
Artikel 5. ( 17/05/2021 - ... )
De maximale kosten die in aanmerking kunnen komen bedragen:
1° 1030 euro per kWp voor een installatie op basis van zonne-energie op marginale gronden en voor een overige installatie op basis van zonne-energie, met een maximaal AC-vermogen van de omvormer(s) groter dan 40 kW tot en met 250 kW;
2° 858 euro per kWp voor een installatie op basis van zonne-energie op marginale gronden en voor een overige installatie op basis van zonne-energie, met een maximaal AC-vermogen van de omvormer(s) groter dan 250 kW tot en met 750 kW;
3° 696 euro per kWp voor een installatie op basis van zonne-energie op marginale gronden en voor een overige installatie op basis van zonne-energie, met een maximaal AC-vermogen van de omvormer(s) groter dan 750 kW tot en met 2 MW;
4° 1150 euro per kWp voor een drijvende installatie op basis van zonne-energie;
5° 3300 euro per kW voor een windturbine op land met een bruto nominaal vermogen per turbine groter dan 10 kWe tot en met 300 kWe.
Artikel 6. ( 17/05/2021 - ... )
De berekening van de verwachte jaarlijkse energieopbrengst van installaties op basis van zonne-energie gebeurt met behulp van de berekeningsmodule voor de inschatting van de jaarlijkse energieproductie van fotovoltaïsche installaties aangesloten op een elektriciteitsnetwerk van het Joint Research Centre van de Europese Commissie ontwikkeld in het Photovoltaic Geographical Information System (PVGIS).
De PVGIS software wordt als volgt gebruikt:
1° In de PVGIS software wordt gebruikt gemaakt van de berekening voor fotovoltaïsche installaties aangesloten op een elektriciteitsnet. Het adres van de inplantingsplaats van de installatie wordt ingegeven. Er wordt steeds gebruik gemaakt van de PVGIS-SARAH databank voor de zonne-instraling, de wijze waarop de zonnepanelen zijn gemonteerd is steeds vrijstaand, het type PV module is steeds kristallijn silicium, de systeemverliezen bedragen steeds 14%. In de PVGIS software mag geen gebruik gemaakt worden van de optie om rekening te houden met schaduw door het terrein.
2° In de PVGIS software moeten voor de installatie uit de steunaanvraag de volgende parameters worden ingevoerd:
- de hellingshoek: dit is de hoek, uitgedrukt in graden, die de zonnepanelen maken ten opzichte van het horizontale vlak;
- de oriëntatie: dit is de richting, uitgedrukt in graden, in dewelke de installatie is geplaatst ten opzichte van het zuiden waarbij een zuidelijke richting gelijk staat met 0°, een oostelijke richting gelijk staat met -90° en een westelijke richting met 90° ;
- het piekvermogen: dit is het DC-piekvermogen van de installatie dat in aanmerking komt voor steun met een gegeven oriëntatie en hellingshoek. Het piekvermogen van de installatie dat in aanmerking komt voor steun is gelijk aan het piekvermogen van de installatie tenzij de installatie valt onder artikel 7;
3° Als de installatie bestaat uit een samenstelling van verschillende oriëntaties, wordt voor elk van de oriëntaties de verwachte jaarlijkse energieopbrengst berekend op basis van de stappen uit punt 1° en 2°. Het piekvermogen onder punt 2° moet voor elk van de oriëntaties daarbij begrepen worden als dat deel van het piekvermogen van de installatie dat in aanmerking komt voor steun, dat die betreffende oriëntatie heeft.
Als de installatie bestaat uit één oriëntatie en verschillende hellingshoeken, wordt voor elk van de hellingshoeken de verwachte jaarlijkse energieopbrengst berekend op basis van de stappen uit punt 1° en 2°. Het piekvermogen onder punt 2° moet voor elk van de hellingshoeken daarbij begrepen worden als dat deel van het piekvermogen van de installatie dat in aanmerking komt voor steun, dat die betreffende hellingshoek heeft.
Als de installatie op basis van zonne-energie in aanmerking komt om te voldoen aan de verplichtingen vermeld in artikel 11.1.3 van het Energiedecreet van 8 mei 2009, en deze installatie bestaat uit een samenstelling van verschillende oriëntaties, moet eerst het piekvermogen van de installatie dat in aanmerking komt voor steun bepaald worden conform artikel 7 van dit besluit. Dit is het gecorrigeerd piekvermogen. Daarna wordt per oriëntatie het gecorrigeerd piekvermogen met die gegeven oriëntatie bepaald door het gecorrigeerd piekvermogen te vermenigvuldigen met de verhouding van het piekvermogen van de installatie met die gegeven oriëntatie en het piekvermogen van de volledige installatie.
De resultaten van de berekening van de verwachte jaarlijkse energieopbrengst voor elke oriëntatie van de installatie worden opgeteld. Deze som is de verwachte jaarlijkse energieopbrengst van de volledige installatie die in aanmerking komt voor steun.
Als de installatie op basis van zonne-energie in aanmerking komt om te voldoen aan de verplichtingen vermeld in artikel 11.1.3 van het Energiedecreet van 8 mei 2009, en deze installatie bestaat uit één oriëntatie en verschillende hellingshoeken, moet eerst het piekvermogen van de installatie dat in aanmerking komt voor steun bepaald worden conform artikel 7 van dit besluit. Dit is het gecorrigeerd piekvermogen. Daarna wordt per hellingshoek het gecorrigeerd piekvermogen met die gegeven hellingshoek bepaald door het gecorrigeerd piekvermogen te vermenigvuldigen met de verhouding van het piekvermogen van de installatie met die gegeven hellingshoek en het piekvermogen van de volledige installatie. De resultaten van de berekening van de verwachte jaarlijkse energieopbrengst voor elke hellingshoek van de installatie worden opgeteld. Deze som is de verwachte jaarlijkse energieopbrengst van de volledige installatie die in aanmerking komt voor steun.
Artikel 7. ( 17/05/2021 - ... )
Als een installatie op basis van zonne-energie in aanmerking komt om te voldoen aan de verplichtingen vermeld in artikel 11.1.3 van het Energiedecreet van 8 mei 2009, wordt voor dat deel van de installatie geen steun toegekend.
Van het omvormervermogen van de installatie, uitgedrukt in kW, wordt het deel van het omvormervermogen afgetrokken dat in aanmerking komt voor de voormelde verplichting, bepaald conform artikel 7.11.1, § 1, vijfde lid van het Energiebesluit van 19 november 2010. Dit resultaat is het gecorrigeerd omvormervermogen.
Het gecorrigeerd omvormervermogen berekend volgens het tweede lid wordt gedeeld door de verhouding van het omvormervermogen van de installatie en het piekvermogen van de installatie. Dit resultaat is het gecorrigeerd piekvermogen. Dit gecorrigeerd piekvermogen is het DC-piekvermogen van de installatie dat in aanmerking komt voor steun en dat moet gebruikt worden voor de berekening van de verwachte jaarlijkse energieopbrengst conform artikel 6.
Artikel 8. ( 17/05/2021 - ... )
De rekenmethode voor de berekening van de verwachte jaarlijkse energieopbrengst voor windturbines houdt rekening met het windaanbod op de specifieke locatie en op de ashoogte, bepaald door de gemiddelde windsnelheid en de winddistributie, en de vermogenscurve van de windturbine. Bij een verticale as windturbine wordt het midden van de rotor aangenomen als de ashoogte. De rekenmethode corrigeert deze berekende energieopbrengst voor de impact van obstakels in de nabijheid van de windturbine.
De formules in de artikelen 8, 9 en 10 van dit besluit worden toegepast voor een windsnelheidsbereik tussen 1 meter per seconde en 20 meter per seconde. De Rayleigh-distributie, de vermogenscurve en de jaarlijkse energieopbrengst moeten elk berekend worden voor dit windsnelheidsbereik in identieke stapgrootte. Deze stapgrootte kan 0,5 meter per seconde of 1 meter per seconde bedragen.
Het windaanbod op de specifieke locatie kan bepaald worden door één van de volgende methoden:
1° Een windmeting volgens de IEC 61400-12 standaard op locatie waarbij de gemiddelde windsnelheid op de ashoogte van de windturbine en de winddistributie gemeten worden. Deze windmeting moet uitgevoerd worden door een instelling, die zowel beheersmatig, juridisch, als financieel onafhankelijk is van de turbine-fabrikant en de subsidie-aanvrager. De gemiddelde windsnelheid moet bij een verticale as windturbine steeds ter hoogte van het midden van de rotor bepaald worden. De meting levert de gemiddelde windsnelheid en de winddistributie die gebruikt zullen worden in de berekening van de jaarlijkse energieopbrengst;
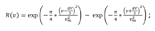
2° Een eenvoudige windmeting, uitgevoerd door een instelling, die zowel beheersmatig, juridisch, als financieel onafhankelijk is van de turbine-fabrikant en de subsidie-aanvrager, zal enkel de gemiddelde windsnelheid aanleveren op de ashoogte. Deze gemeten gemiddelde windsnelheid moet dan gecombineerd worden met een standaard winddistributie. Een standaard winddistributie, gebaseerd op de Rayleigh verdeling `R(v)', wordt aangenomen indien geen gecertificeerde windmeting volgens de IEC 61400-12 standaard beschikbaar is. De Rayleigh-distributie geeft het aandeel R(v) voor de windsnelheid `v' met een gemiddelde windsnelheid `Vm' in meter per seconde. De stapgrootte `dV' in deze formule bedraagt 0,5 meter per seconde of 1 meter per seconde, afhankelijk van de stapgrootte van de vermogenscurve. De gemeten of geschatte gemiddelde windsnelheid wordt in de onderstaande formule gebruikt als Vm:

3° Indien geen meetgegevens van het windaanbod op de specifieke locatie beschikbaar zijn, moet een door het VEKA te aanvaarden kwalitatieve onafhankelijke bron geraadpleegd worden, die een inschatting geeft voor de gemiddelde windsnelheid voor de specifieke locatie en ashoogte. Deze inschatting moet bij de aanvraag terdege onderbouwd worden. Deze ingeschatte gemiddelde windsnelheid moet gecombineerd worden met een standaard winddistributie, gebaseerd op de Rayleigh verdeling `R(v)', zoals deze vermeld is in punt 2.
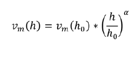
Indien bij punt 3 de onafhankelijke bron niet beschikt over de gemiddelde windsnelheid op de gewenste ashoogte, kan de gemiddelde windsnelheid op ashoogte `h' berekend worden in verhouding tot een referentie-snelheid op hoogte `ho', bepaald volgens de onafhankelijke bron, en volgens de onderstaande formule:

De parameter `alpha' is bepaald door de ruwheid van het aardoppervlak. De meest passende omgeving voor de specifieke locatie van de geplande windturbine moet gekozen worden uit volgende opsomming, met de overeenkomstige waarde voor de parameter alpha: onbegroeide vlakke grond, of een meer = 0,10; vlak veld of weide met kort gras, zonder bomen = 0,14; veld of weide met sporadisch een boom = 0,16; veld of weide met hoge gewassen = 0,20; een bosrijke omgeving met slechts enkele huizen = 0,23; een bosrijke omgeving met meerdere huizen, een dorp of wijk = 0,29; een stedelijke omgeving = 0,4. De windsnelheid op ashoogte `h' kan ook berekend worden door interpolatie tussen twee verschillende hoogten met een gekende windsnelheid.
Artikel 9. ( 17/05/2021 - ... )
De vermogenscurve van de windturbine kan worden aangeleverd door de fabrikant indien een IEC 61400-12 gecertificeerde vermogenscurve beschikbaar is. Deze vermogenscurve moet bepaald zijn door een instelling, die zowel beheersmatig, juridisch, als financieel onafhankelijk is van de turbine-fabrikant en de subsidie-aanvrager. Indien geen IEC gecertificeerde vermogenscurve beschikbaar is, wordt een standaard vermogenscurve `P', in kW, gegenereerd op basis van onderstaande formule en aannames. Het vermogen moet berekend worden voor het opgegeven windsnelheidsbereik en in identieke stapgrootte, conform artikel 8, tweede lid, van dit besluit. Het vermogen moet gelimiteerd worden tot het nominale vermogen, dit is het maximale vermogen dat de turbine kan leveren.

- rhô bedraagt 1,225 kilogram per kubieke meter op zeeniveau;
- A is de doorstroomde oppervlakte van de turbinerotor in vierkante meter en is algemeen uitsluitend gebaseerd op het draaiende deel van de turbinerotor;
- v is de windsnelheid ter hoogte van de rotor in meter per seconde;
-
is het totaalrendement van de turbine, waarbij in afwezigheid van een IEC gecertificeerde vermogenscurve êta wordt vastgelegd op 0,30 voor een horizontale as windturbine, 0,25 voor een Darrieus type windturbine en 0,10 voor een Savonius type windturbine of voor een type windturbine dat niet onder de definitie van een van voorgaande types valt.
Het type windturbine moet aangetoond worden bij de aanvraag en moet gebaseerd zijn op het werkingsprincipe van de draaiende rotor. Een horizontaal geplaatste verticale as windturbine zal nog steeds beschouwd worden als een verticale as windturbine.
Artikel 10. ( 17/05/2021 - ... )
De jaarlijkse energieopbrengst `E', in kWh per jaar, wordt bepaald door de vermogenscurve `P(v)' aangeleverd volgens de bepalingen van artikel 9 van dit besluit, te vermenigvuldigen met de windsnelheidsdistributie `R(v)', op basis van onderstaande formule. De som wordt genomen over alle windsnelheden tussen 1 meter per seconde en 20 meter per seconde, in een stapgrootte van 0,5 meter per seconde of 1 meter per seconde, conform artikel 8, tweede lid, van dit besluit en door rekening te houden met 8760 uur per jaar.

Artikel 11. ( 17/05/2021 - ... )
De in artikel 10 van dit besluit berekende energieopbrengst `E', in kWh per jaar, dient gecorrigeerd te worden voor de impact van eventuele lokale obstakels in de omgeving van de voorziene inplantingslocatie van de windturbine. Deze correctie is enkel nodig voor aanvragen waar geen windmeting op ashoogte werd uitgevoerd conform artikel 8, derde lid, 1° of 2°. Onderstaande methode dient gebruikt te worden om de invloed van obstakels op de energieopbrengst in rekening te brengen:
1° Stap 1: oplijsten van alle obstakels binnen een cirkel rondom de turbine met als diameter 20 keer de ashoogte van de turbine, met vermelding van hun hoogte H en afstand A tot de turbine. Voor objecten waar de afstand niet eenduidig is zoals voor hagen of grote gebouwen, wordt een afstand voor elke uiterste kant van de breedte O van het object genomen. De obstakels lager dan de helft van de hoogte van de onderkant van de turbinerotor dienen niet geïnventariseerd te worden. Voor een horizontale as turbine is de onderkant van de rotor de ashoogte min de schoeplengte.
Indien er zich andere windturbines binnen de te onderzoeken cirkel van de turbine bevinden of gepland zijn, worden deze ook als obstakel beschouwd, waarbij de breedte van het obstakel gelijk wordt gesteld aan de helft van de breedte van de rotor. Bij een horizontale as windturbine wordt de diameter beschouwd als de breedte van de rotor. Bij aanvragen waar een windmeting is uitgevoerd conform artikel 8, derde lid, 1° of 2°, dient enkel de invloed van de geplande windturbines nog in rekening gebracht te worden volgens de principes van dit artikel.
Objecten die zich net buiten de cirkel met diameter 20 keer de ashoogte van de turbine bevinden en die een hoogte hebben die op de kaart zoals omschreven in punt 2°, op die gegeven afstand van de objecten boven de 20H-lijn komen, dienen ook opgenomen te worden in deze oplijsting.
2° Stap 2: De opgelijste obstakels worden geclassificeerd op basis van hun hoogte en afstand tot de turbine door hen aan te duiden op een kaart. De kaart geeft de afstand tot de turbine op de x-as weer in meter, de hoogte van de obstakels op de y-as in meter en bevat drie zones (rood, oranje en groen), die gescheiden zijn door de 10H-lijn (= 10 x de hoogte van een object; scheiding tussen rode en oranje zone) en de 20H-lijn (= 20 x de hoogte van een object; scheiding tussen oranje en groene zone). Smalle structuren zoals een boom worden aangeduid met een punt, terwijl grotere structuren zoals een haag worden aangeduid met een lijn.
3° Stap 3: Objecten in de groene zone worden verder buiten beschouwing gelaten. Objecten in de oranje en rode zone zullen de energieopbrengst negatief beïnvloeden. De invloedssfeer van een object wordt bepaald door de linkerafstand L en de rechterafstand R tussen de turbine en de twee uiterste punten van het object en de breedte O van het object, en wordt uitgedrukt als een zone met een hoek thêta:

Een object in de oranje zone laat de energieopbrengst in de zone met hoek thêta met 50% afnemen, een object in de rode zone laat de energieopbrengst in de zone met hoek thêta met 100% afnemen. De gecorrigeerde energieopbrengst Ec, in kWh per jaar, wordt bekomen door de invloed van alle relevante objecten op basis van hun hoek thêta in graden, in rekening te brengen:

De gecorrigeerde energieopbrengst Ec komt overeen met de verwachte jaarlijkse energieopbrengst van de installatie.
Artikel 12. ( 17/05/2021 - ... )
Het bepalen van de verwachte energieopbrengst van installaties op basis van zonne-energie en installaties op basis van windenergie gebeurt door het vermenigvuldigen van de verwachte jaarlijkse energieopbrengst van de installatie met de levensduur van de installatie zoals bepaald in artikel 7.11.3, § 3, eerste lid van het Energiebesluit van 19 november 2010.
Artikel 13. ( 17/05/2021 - ... )
De aanvrager dient de berekening van de verwachte jaarlijkse energieopbrengst van de installatie op basis van zonne-energie of de berekening van de verwachte jaarlijkse energieopbrengst van de windturbine in bij de steunaanvraag. Bij de berekening van de verwachte energieopbrengst van de windturbine wordt deze berekening bovendien onderbouwd met de volgende informatie:
1° een plattegrond van de locatie, met aanduiding van de geplande windturbine en van alle obstakels opgelijst in de beschreven methode, vermeld in artikel 11;
2° een gecertificeerde vermogenscurve indien beschikbaar;
3° de resultaten en details van uitvoering van een windmeting, indien beschikbaar.
Artikel 14. ( 17/05/2021 - ... )
Artikel 3, 1° en 3°, artikel 9 tot en met 13, artikel 15, 1°, 3°, 4°, 5° en 7° , artikel 16, artikel 17, § 1 en § 3, artikel 18 en artikel 19 van het besluit van de Vlaamse Regering van 10 juli 2020 tot wijziging van het Energiebesluit van 19 november 2010, wat betreft de invoering van een steunregeling voor middelgrote installaties op basis van zonne-energie en kleine en middelgrote windturbines en wat betreft nuttige groene warmte, restwarmte en de injectie en productie van biomethaan, treden in werking op 17 mei 2021.
Artikel 2, artikel 14 en artikel 17, § 2 van het besluit van de Vlaamse Regering van 10 juli 2020 tot wijziging van het Energiebesluit van 19 november 2010, wat betreft de invoering van een steunregeling voor middelgrote installaties op basis van zonne-energie en kleine en middelgrote windturbines en wat betreft nuttige groene warmte, restwarmte en de injectie en productie van biomethaan, treden in werking op 17 juli 2021.
Artikel 15. ( 17/05/2021 - ... )
Dit besluit treedt in werking op 17 mei 2021.
Vlaamse Codex, officiële website van de Vlaamse Overheid - https://codex.vlaanderen.be
Geconsolideerde versie die geldt op 18/02/2026